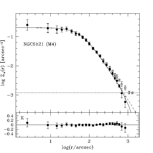
Observed star density profile (open dots; click here to download the file). If available, background-subtracted profile (solid dots) and background level (dotted line). Best-fit King profile (solid curve) and best-fit Wilson profile (dashed curve). Bottom panel: residuals with respect to the model that provides the lowest χ2 (see label: K = King, W= Wilson).
Credits. If you use this site for scientific work, we kindly ask you to report the following acknowledgment “This research has made use of the products of the Cosmic-Lab project funded by the European Research Council”, and to cite the paper Miocchi et al., 2013, ApJ, 774, 151
Please, feel free to contact us for any questions, comments or suggestions.